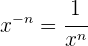
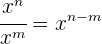
Repaso de la ley de exponentes
1
2
3
4
5
EJERCICIOS INTERACTIVOS CON SOLUCIONES.
EJERCICIOS DE POTENCIAS.
https://www.superprof.es/apuntes/escolar/matematicas/aritmetica/racionales/ejercicios-resueltos-de-potencias.html
1º ESO. Tema 10: GEOMETRÍA. ELEMENTOS EN EL PLANO 1º ESO. TEMA 11: TRIÁNGULOS 1º ESO. TEMA 12: POLÍGONOS Y CIRCUNFERENCIA 1º ESO. TEMA 13:...
No hay comentarios:
Publicar un comentario